Troubleshooting guide
Table Of Contents
- Quick Troubleshooting Guide
- CONTENTS
- ABOUT THIS GUIDE
- GENERAL SERVICE INFORMATION
- TROUBLESHOOTING FLOWCHARTS
- 1. Initial Troubleshooting
- 2. No Power, Part 1
- 3. No Power, Part 2
- 4. No Power, Part 3
- 5. No Video, Part 1
- 6. No Video, Part 2
- 7. No Video, Part 3
- 8. Error Messages Part 1
- 9. Error Messages, Part 2
- 10. Error Messages, Part 3
- 11. No O/S Loading
- 12. No O/S Loading from Hard Drive, Part 1
- 13. No O/S Loading from Hard Drive, Part 2
- 14. No O/S Loading from Hard Drive, Part 3
- 15. No O/S Loading from Diskette Drive
- 16. No O/S Loading from CD-ROM Drive
- 17. No O/S Loading from Network
- 18. Non-Functioning Device
- FURTHER TROUBLESHOOTING
- POST ERROR MESSAGES

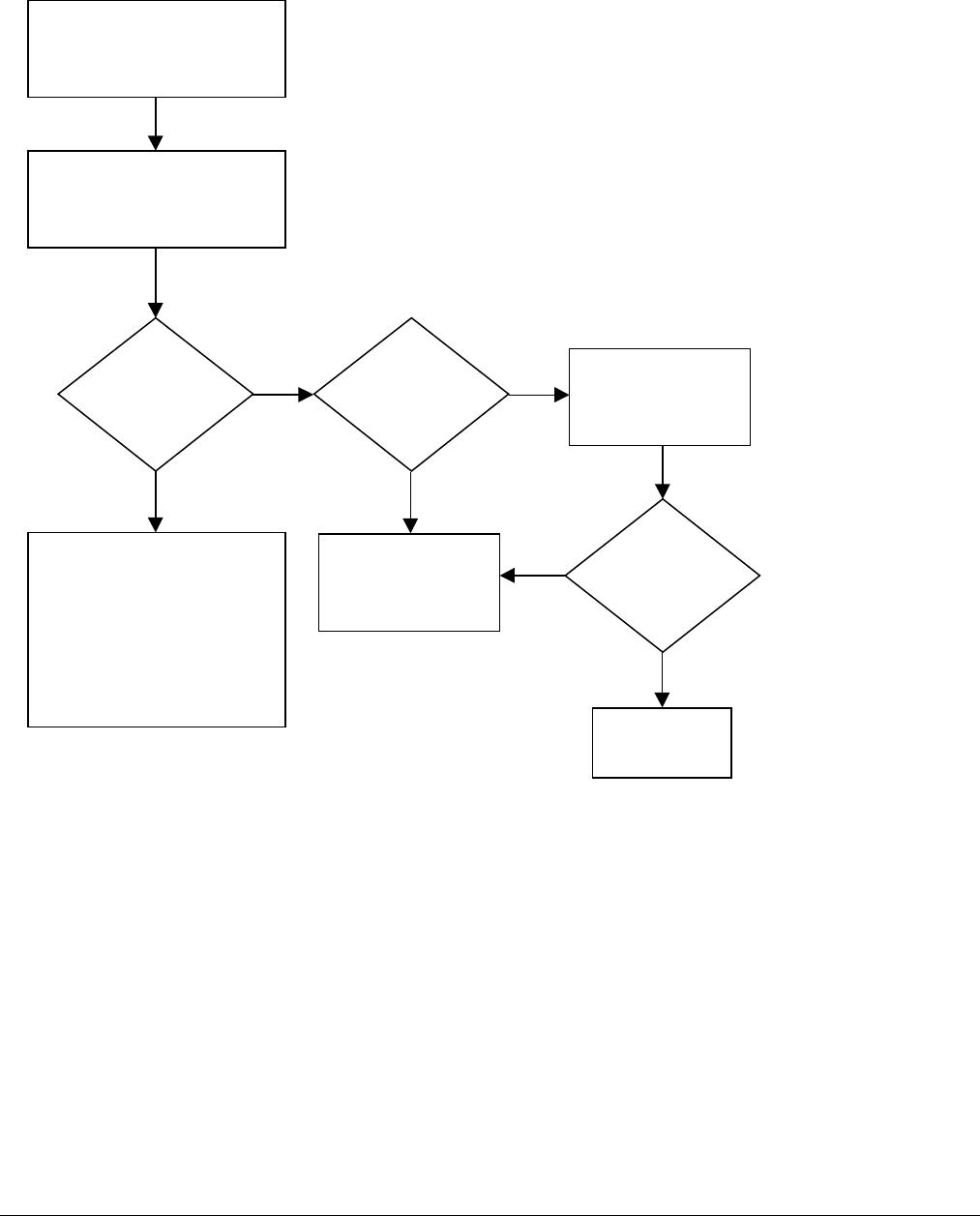
2-8 Troubleshooting Flowcharts
7. No Video, Part 3
See codes
or flashing
lights or hear
beeps?
Restart computer.
Turn off computer and
disconnect power. Replace
components in system
one at a time starting with
hard drive. Test system
after each replacement for
video or beeps.
Y
Replace
video card.
Caution: Power is continuous to the system board and power supply
even when the power switch is turned off. To prevent damage to the unit,
disconnect the power cord from the power source or the unit before
beginning disassembly procedures.
From Page 2-7,
No Video, Part 2
N
Integrated
video?
N
Replace
system board.
Video OK?
Y
N
Done.










