User Manual
Manuals
Brands
Circuit Design Manuals
Electronics
UHF narrow band multi channel receiver
11
12
13
14
15
16
17
18
19
20
OG_CDP-02E-R-457M_v1
1e
Circuit Desig
n, Inc.
15
OPERA
TION GUIDE
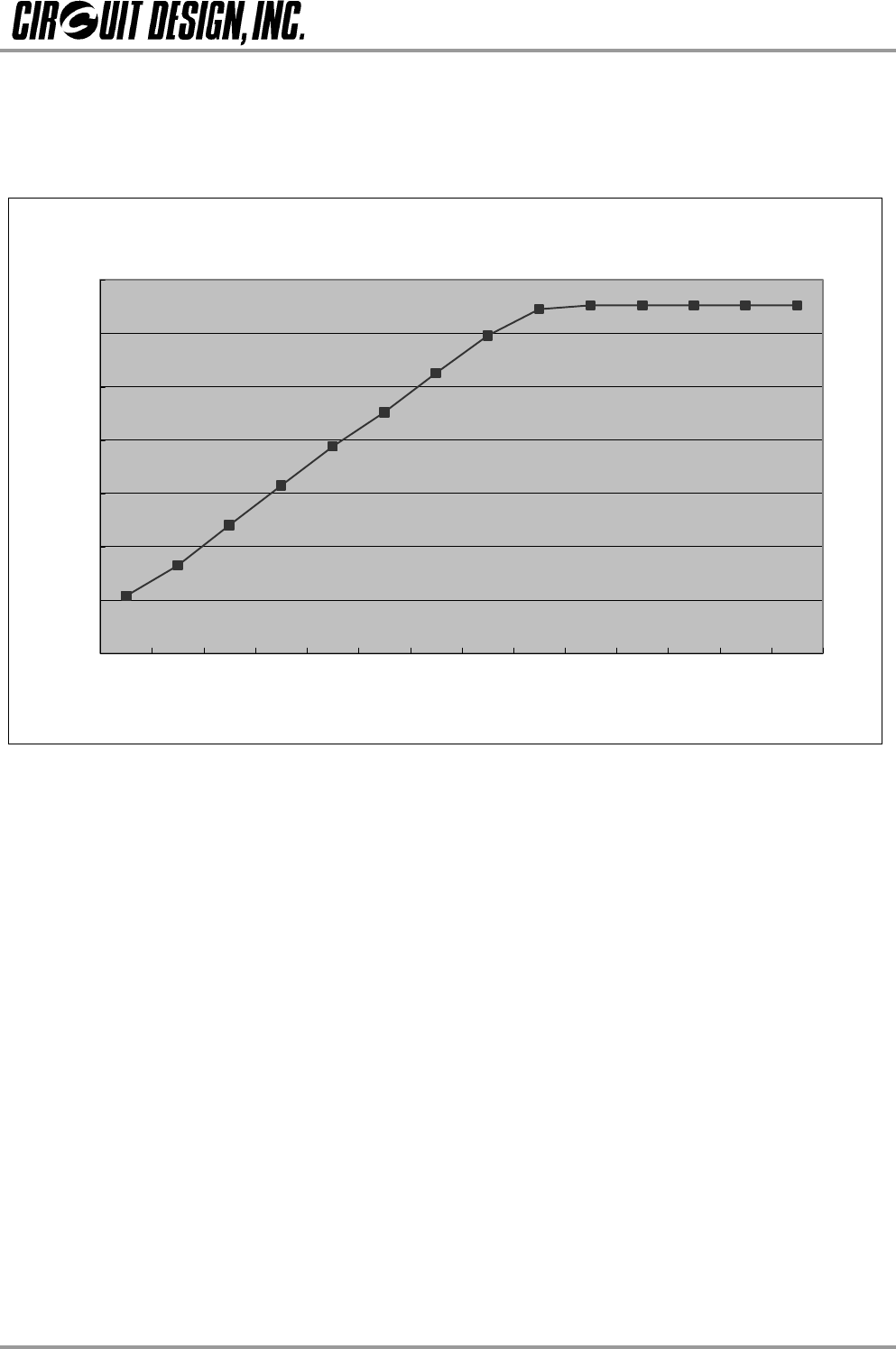
TEST DA
T
A
RSSI
output
0
100
200
300
400
500
600
700
-130
-120
-
110
-
100
-90
-
80
-70
-60
-50
-40
-30
-20
-10
0
R
F lev
e
l (dB
m
)
RSSI (mV)
1
...
...
13
14
15
16
17
...
...
20