
— 129 —
Permutation
• Eingabebereich: n r 0 (n, r : natürliche Zahlen)
• Formel: nPr
Kombination
• Eingabebereich: n r 0 (n, r : natürliche Zahlen)
• Formel: nCr
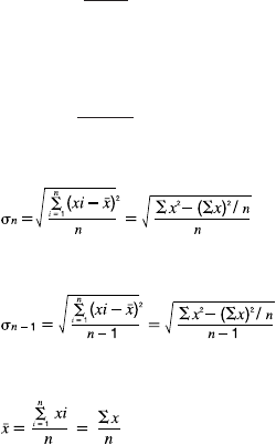
Population-Standardabweichung
Sample-Standardabweichung
Arithmetischer Mittelwert
n!
(nr)!
n!
n!(nr)!