User manual - EXZ450_M10_FB
Table Of Contents
- Desembalagem
- Leia isto primeiro!
- Sumário
- Guia geral
- Conteúdo do monitor
- Fundamentos de iniciação rápida
- O que é uma câmera digital?
- O que você pode fazer com a sua câmera CASIO
- Antes de usar a câmera, carregue sua bateria.
- Configuração das definições básicas na primeira vez que ligar a câmera
- Preparação de um cartão de memória
- Maneira de ligar e desligar a câmera
- Para tirar uma foto
- Sujeição adequada da câmera
- Visualização de fotos
- Apagamento de imagens
- Precauções ao tirar fotos
- Tutorial para fotografar
- Uso do painel de controle
- Alteração do tamanho da imagem (Tamanho)
- Uso do flash (Flash)
- Especificação da área de foco automático (Área AF)
- Otimização do brilho da imagem (Iluminação)
- Especificação da sensibilidade ISO (ISO)
- Uso da obturação contínua (Contínuo)
- Uso da detecção de rosto (Detecção rosto)
- Correção do brilho da imagem (Desloc. EV)
- Alteração do estilo da data/hora do painel de controle
- Fotografia com zoom
- Fotografia com o modo de maquiagem (Maquiagem)
- Fotografia de imagens panorâmicas belas (Modo de paisagem)
- Gravação de imagens de filme e áudio
- Uso de BEST SHOT
- Definições avançadas
- Uso dos menus na tela
- Definições do modo REC (REC)
- Seleção de um modo de foco (Foco)
- Uso da obturação contínua (Contínuo)
- Uso do disparador automático (Dispar. auto)
- Uso da obturação automática (Obturação automática)
- Fotografia com detecção de rosto (Detecção rosto)
- Redução dos efeitos do movimento da câmera e do tema (Anti-vibração)
- Especificação da área de foco automático (Área AF)
- Uso da luz auxiliar do foco automático (Luz aux. AF)
- Mudança da forma do quadro de foco (Quadro de foco)
- Ativação ou desativação do zoom digital (Zoom digital)
- Atribuição de funções às teclas [<] e [>] (Tecla DIR/ESQ)
- Gravação com obturação rápida (Obt. rápida)
- Exibição da grade na tela (Grade)
- Ativação da revisão da imagem (Revisar)
- Uso da ajuda de ícone (Ajuda de ícone)
- Configuração das definições iniciais ao ligar a câmera (Memória)
- Definições da qualidade da imagem (Qualidade)
- Especificação do tamanho da foto (Tamanho)
- Especificação da qualidade de foto (Qualidade (Foto))
- Especificação da qualidade da imagem de filme (Qualidade (Filme))
- Correção do brilho da imagem (Desloc. EV)
- Controle do balanço do branco (Bal. branco)
- Especificação da sensibilidade ISO (ISO)
- Especificação do modo de fotometria (Fotometria)
- Otimização do brilho da imagem (Iluminação)
- Uso dos filtros de cor incorporados (Filtro de cor)
- Controle da nitidez da imagem (Nitidez)
- Controle da saturação da cor (Saturação)
- Ajuste do constraste da imagem (Contraste)
- Especificação da intensidade do flash (Intens. flash)
- Visualização de fotos e filmes
- Outras funções de reprodução (PLAY)
- Reprodução de um show slides na câmera (Show slides)
- Arranjo das fotos com layout (Layout)
- Criação de uma foto de fotogramas de um filme (MOTION PRINT)
- Edição de um filme na câmera (Edição filme)
- Otimização do brilho da imagem (Iluminação)
- Uso da correção de olhos vermelhos (Olhos vermelhos)
- Ajuste do balanço do branco (Bal. branco)
- Ajuste do brilho de uma foto existente (Brilho)
- Correção da distorção trapezoidal (Dist. trapez.)
- Uso da correção das cores para corrigir as cores de uma foto antiga (Correção cores)
- Seleção de imagens para impressão (Impr. DPOF)
- Proteção de um arquivo contra apagamento (Proteção)
- Edição da data e da hora de uma imagem (Data/Hora)
- Rotação de uma imagem (Rotação)
- Redimensionamento de uma foto (Redimensionar)
- Recorte de uma foto (Recorte)
- Adição de áudio a uma foto (Dublagem)
- Cópia de arquivos (Copiar)
- Foto Dinâmica
- Impressão
- Uso da câmera com um computador
- Coisas que você pode fazer com um computador...
- Uso da câmera com um computador Windows
- Visualização e armazenamento de imagens num computador
- Reprodução de filmes
- Carregamento de arquivos de filme em YouTube
- Transferência de imagens do seu computador para a memória da câmera
- Reproduza imagens de Foto Dinâmica na sua EXILIM, num computador ou num telefone móvel.
- Visualização da documentação do usuário (Arquivos PDF)
- Registro do usuário
- Uso da câmera com um Macintosh
- Uso de um cartão de memória SD sem fio Eye-Fi para transferir imagens (Eye-Fi)
- Arquivos e pastas
- Dados de um cartão de memória
- Outras definições (Config.)
- Ajuste do brilho do monitor (Tela)
- Desativação da comunicação do cartão Eye-Fi (Eye-Fi)
- Configuração das definições dos sons da câmera (Sons)
- Configuração da imagem inicial (Tela inicial)
- Especificação da regra de geração dos números seriais dos nomes dos arquivos (Nº arquivo)
- Configuração das definições da hora mundial (Hora mundial)
- Impressão da hora nas fotos (Impr. hora)
- Definição do relógio da câmera (Ajuste)
- Especificação do estilo da data (Estilo data)
- Especificação do idioma de exibição (Language)
- Configuração das definições do estado de descanso (Descanso)
- Configuração das definições do desligamento automático (Desl. Auto)
- Configuração das definições [_] e [>] (REC/PLAY)
- Configuração das definições do protocolo USB (USB)
- Seleção da razão de aspecto e sistema de saída de vídeo (Saída víd.)
- Formatação da memória incorporada ou de um cartão de memória (Formatar)
- Reinicialização da câmera às seleções de fábrica (Reset)
- Configuração das definições do monitor
- Apêndice
- Precauções durante o uso
- Fornecimento de energia
- Uso de um cartão de memória
- Requisitos do sistema do computador para o software incluído (CD-ROM incluído)
- Reinicialização das seleções iniciais de fábrica
- Quando as coisas não vão bem...
- Número de fotos/Tempo de gravação de filme/ Tempo de gravação de voz
- Especificações

136
Uso da câmera com um computador
A câmera armazena as imagens tiradas de acordo com a Regra de Design para
Sistema de Arquivos de Câmera (DCF).
. Sobre o DCF
DCF é um padrão que possibilita a visualização e impressão de imagens gravadas
na câmera de um fabricante em dispositivos compatíveis com o padrão DCF,
produzidos por outros fabricantes. Você pode transferir imagens compatíveis com
DCF gravadas com outra câmera para esta câmera e vê-las no monitor desta
câmera.
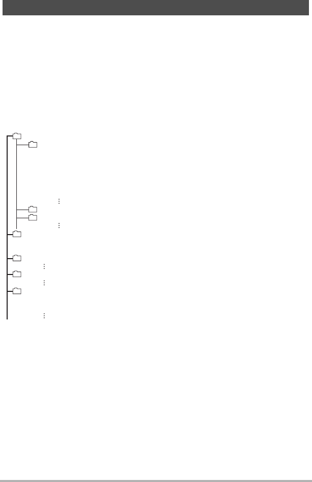
. Estrutura das pastas na memória
Pasta DCIM
Pasta de gravação
Arquivo de imagem
Arquivo de filme
Arquivo de áudio
Arquivo de imagem de foto com áudio
Arquivo do áudio de foto com áudio
Arquivo de imagem de tema
Pasta de gravação
Pasta de gravação
Pasta de arquivos DPOF
Arquivo DPOF
Pasta de configuração do usuário de BEST SHOT de foto
Pasta de configuração do usuário de BEST SHOT de filme
Pasta de música de fundo
Arquivo de música de fundo
Arquivo de música de fundo
Arquivo de imagem de tela inicial
*1 As outras pastas são criadas quando as seguintes cenas BEST SHOT são usadas
para gravação. “For eBay” ou “Leilão” (o nome da cena depende do modelo da
câmera), ou “For YouTube”. O seguinte mostra o nome da pasta criada para cada
cena.
• Cena eBay: 100_EBAY
• Cena Leilão: 100_AUCT
• Cena YouTube: 100YOUTB
*2 Só é possível criar esta pasta ou arquivo na memória incorporada.
Dados de um cartão de memória
DCIM
100CASIO
*
1
CIMG0001.JPG
CIMG0002.AVI
CIMG0003.WAV
CIMG0004.JPG
CIMG0004.WAV
101CASIO
*
1
102CASIO
*
1
MISC
AUTPRINT.MRK
SCENE
*
2
MSCENE
*
2
SSBGM
SSBGM001.WAV
SSBGM002.WAV
STARTING.JPG
*
2
CIMG0005.JPE










