Instruction manual
Table Of Contents
- Revision and Copyright Information
- Limited Warranty
- Assistance
- Precautions
- Table of Contents
- 1. Introduction
- 2. Cautionary Statements
- 3. Initial Inspection
- 4. Quickstart
- 5. Overview
- 6. Specifications
- 7. Installation
- 8. Sensor Maintenance
- 9. Troubleshooting
- 10. References
- Appendix A. Importing Short Cut Code
- Appendix B. Example Programs
- Appendix C. Interfacing with HMP155A RS-485 Output
- Campbell Scientific Companies

HMP155ATemperature and Relative Humidity Probe
*HMP155ACBL1 Cable provided by Campbell Scientific
5
=
no connection
6
=
no connection
7
=
V
CC
(red)
8
=
GND (black)
-
=
SHIELD (clear)
*Note: HMP155A
CBL2 for RS-485 is described in Appendix C.
Filter: Sintered PTFE
Housing material: PC
Housing classification: IP66
Weight: 86 g (3 oz)
Inputs and Outputs
Voltage outputs: 0 to 1 V
Average current consumption: <3 mA (analog output mode)
Operating voltage: 7 to 28 Vdc
Settling time at power-up: 2 s
6.1 Temperature Sensor
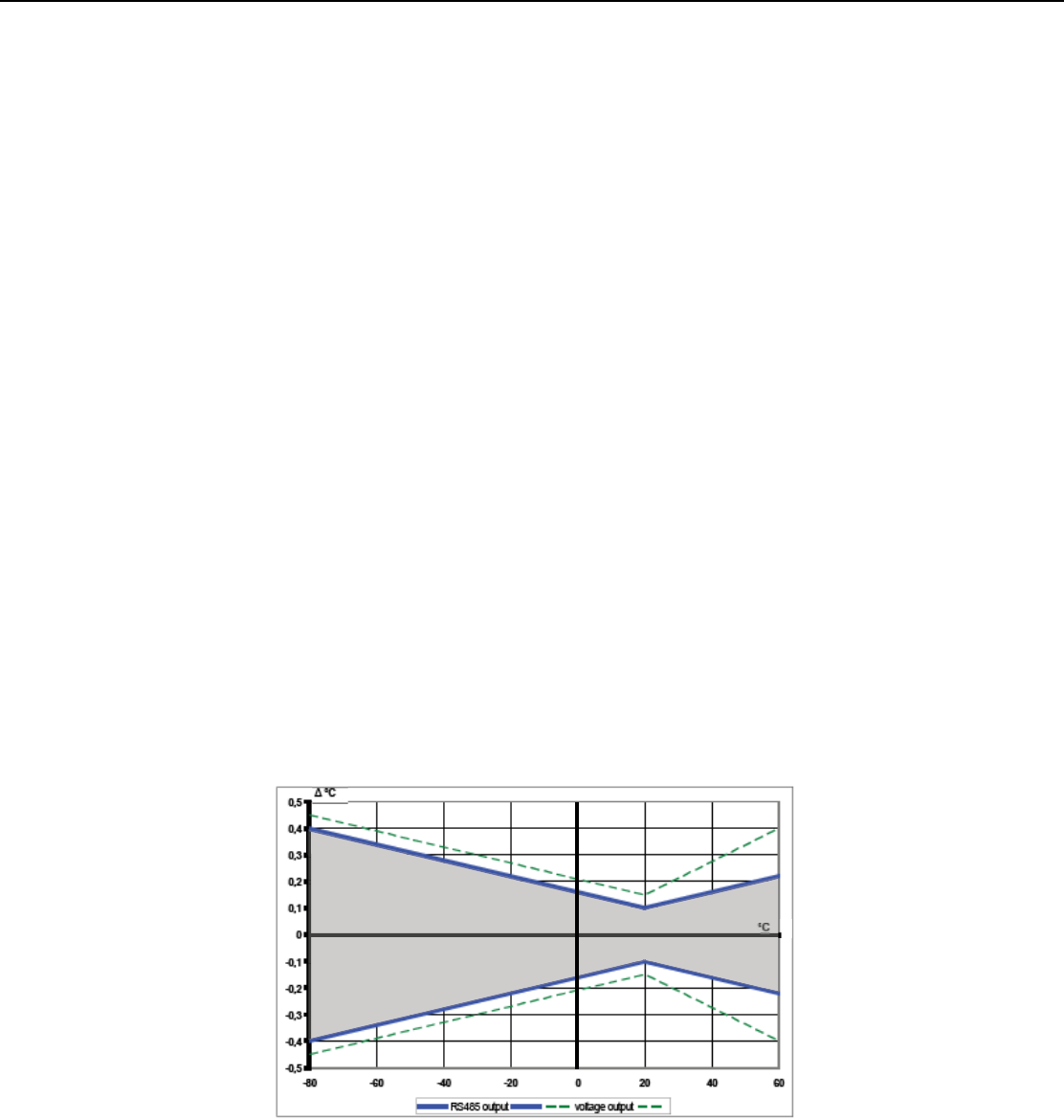
Measurement range: –80 to 60 °C (–112 to 140 °F)
Accuracy with voltage output
at –80 to 20 °C: ±(0.226 – 0.0028 x temperature) °C
at 20 to 60 °C: ±(0.055 + 0.0057 x temperature) °C
See graph below
0804-032
Temperature sensor: Pt 100 RTD 1/3 Class B IEC 751
Response time (63 %) for additional
temperature probe in 3 m/s air flow: 63% <20 s
90% <35 s
10










