User Manual
Table Of Contents
- Contacting Allied Vision Technologies
- Introduction
- Conformity
- Specifications
- Camera attribute highlights
- Filters
- Camera dimensions
- Camera interfaces
- Firmware update
- Resolution and ROI frame rates
- Description of the data path
- Additional references

Prosilica GE Technical Manual V2.0.3
57
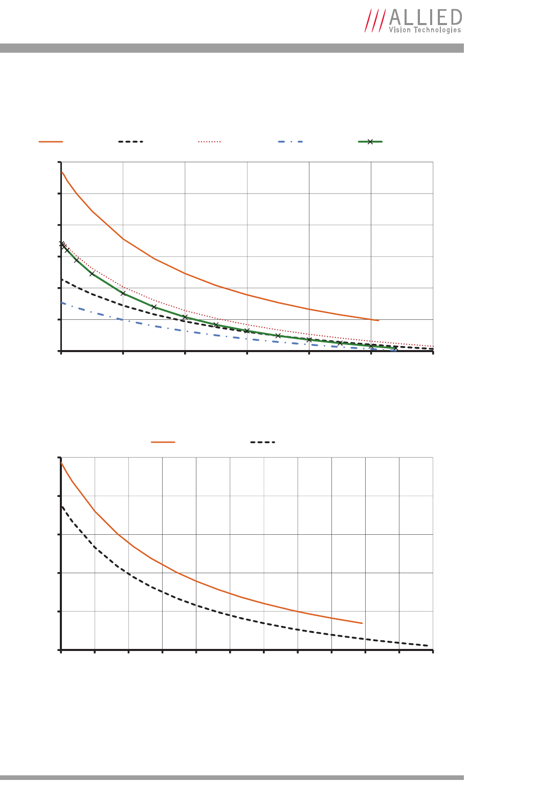
Resolution and ROI frame rates
Prosilica GE model comparison
Figure 43: Maximum frame rate vs. height for select Prosilica GE camera models
Figure 44: Maximum frame rate vs. height for Prosilica GE4000 and Prosilica GE4900
30
60
90
120
150
180
210
0 200 400 600 800 1000 1200
Frame Rate [fps]
Height [pixels]
GE1050 GE1650 GE1660 GE1900 GE1910
3
6
9
12
15
18
0 300 600 900 1200 1500 1800 2100 2400 2700 3000 3300
Frame Rate [fps]
Height [pixels]
GE4000 GE4900










