User Manual
Table Of Contents
- Contacting Allied Vision Technologies
- Introduction
- Conformity
- Specifications
- Camera attribute highlights
- Filters
- Camera dimensions
- Camera interfaces
- Firmware update
- Resolution and ROI frame rates
- Description of the data path
- Additional references

Prosilica GE Technical Manual V2.0.3
52
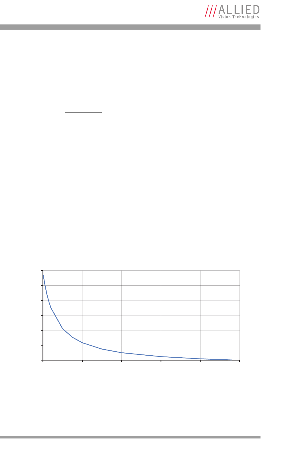
Resolution and ROI frame rates
Resolution and ROI frame rates
This section provides the performance information which identifies the impact
of reducing the region of interest on the camera’s maximum frame rate.
Prosilica GE680
Note
• Frame rate data was generated using StreamBytesPer-
Second = 124 MB/s and an 8 bit pixel format such as
Mono8, BayerGR8, or BayerRG8. Frame rates may be
lower if using network hardware incapable of 124 MB/s.
• The camera frame rate can be increased by reducing the
camera's Height attribute, resulting in a decreased
region of interest (ROI) or “window”.
• The camera frame rate can also be increased by increas-
ing the camera's BinningY attribute, resulting in a verti-
cally scaled image (less overall height with same field of
view).
• There is no frame rate increase with reduced width.
Figure 34: Frame rate vs. height for Prosilica GE680
Frame rate
1
9.49 μs Height 320.06 μs+
------------------- ---------------------- ---------------------- -----
=
200
700
1200
1700
2200
2700
3200
0 100 200 300 400 500
Frame Rate [fps]
Height [pixels]










