- CITIZEN Dot Matrix Printer User's Manual

iDP-3410 User’s Manual
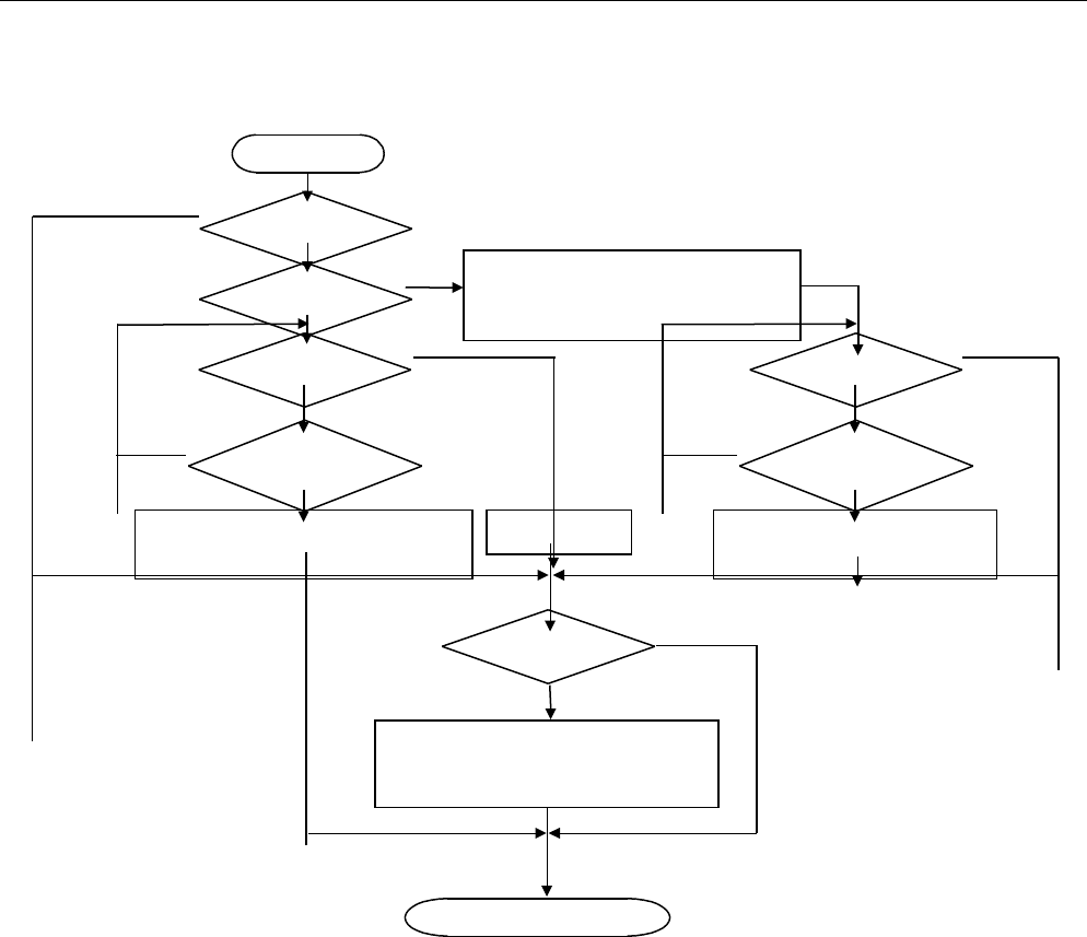
4.9 Operation Flow at Power-on
"Clear Data in Buffer"
Yes(FEED SW) and Enlarged
Red Print
Feed SW ?
Buffer data
FEED SW ?
(CONTINUE)
1 Sec. Passed
Power-on
Yes
No
Prints" =HexadecimalDump =
Dump Mode
Test Print
No
Yes
Off
On
FEED SW ?
(AGAIN)
1 Sec. Passed
Input Buffer Clear
Yes
No
Off
On
Buffer Data
No
Yes
Prints "Power Down(Data in
Buffer)" in Red, Followed by
Buffer Contents.
Waits for Data Input










