Datasheet
Manuals
Brands
Adafruit Manuals
Adafruit
GA1A12S202 Analog Light Sensor, 6V
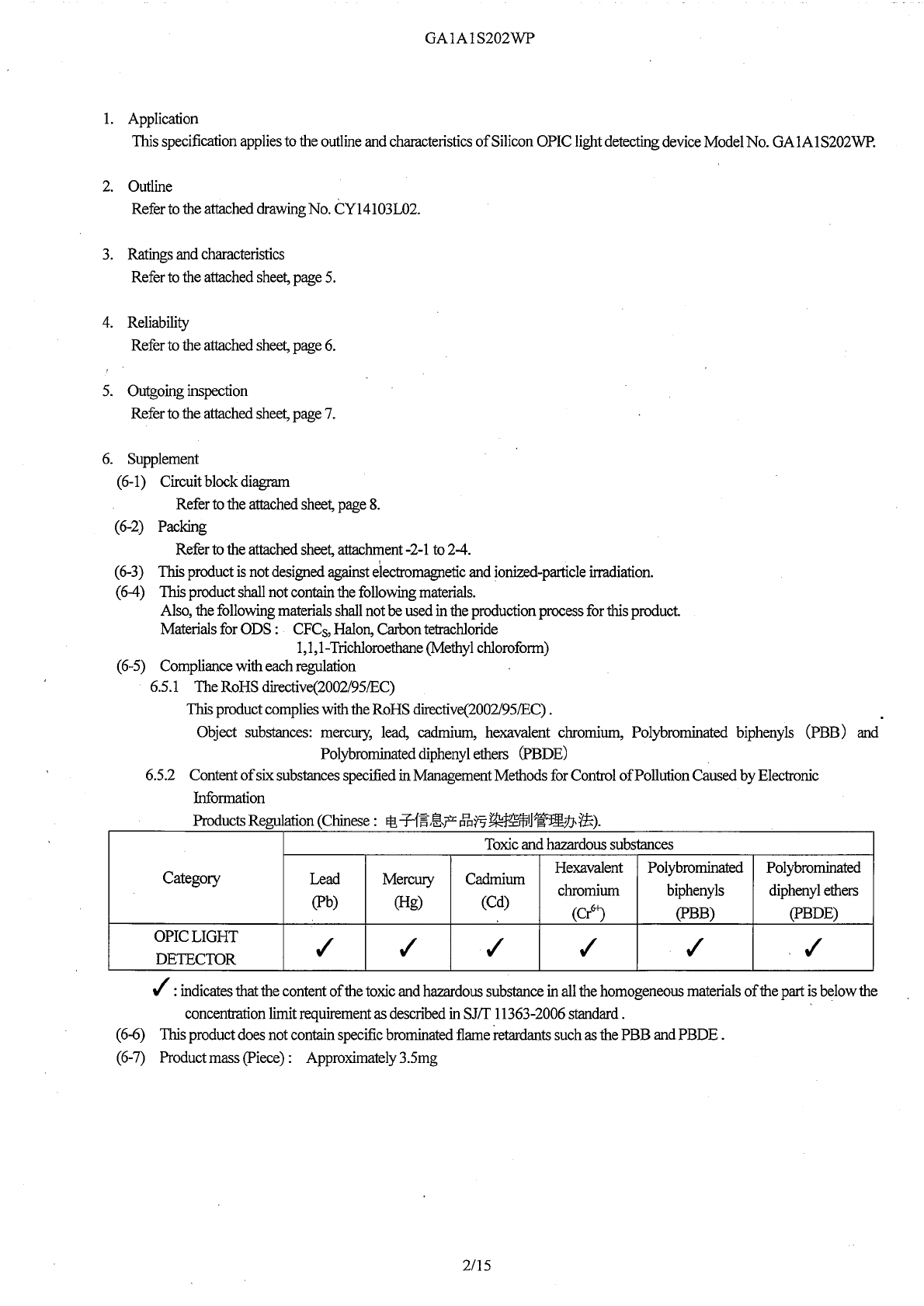
1
2
3
4
5
6
7
8
9
10
REFERENCE
1
...
2
3
4
5
6
...
...
18